Instance Verification Kit (IVK)

spin lock @ [24036+30+/linux-3.19-rc1/drivers/net/ethernet/qlogic/qlcnic/qlcnic_io.c]
Instance Signature: lock

The Matching Pair Graph:


Function Name
Control Flow Graph (CFG)
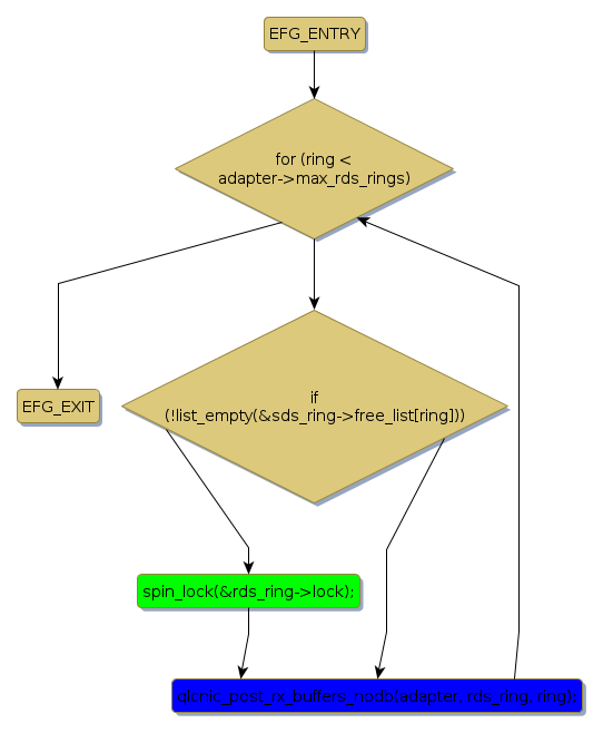
Events Flow Graph (EFG)
Source Correspondence
qlcnic_83xx_process_rcv_ring [51172+28+/linux-3.19-rc1/drivers/net/ethernet/qlogic/qlcnic/qlcnic_io.c]
qlcnic_post_rx_buffers_nodb [23778+27+/linux-3.19-rc1/drivers/net/ethernet/qlogic/qlcnic/qlcnic_io.c]
qlcnic_process_rcv_ring [37411+23+/linux-3.19-rc1/drivers/net/ethernet/qlogic/qlcnic/qlcnic_io.c]